Gávea, na Zona Sul do Rio, lidera ranking das ruas mais valorizadas da cidadeFreepik
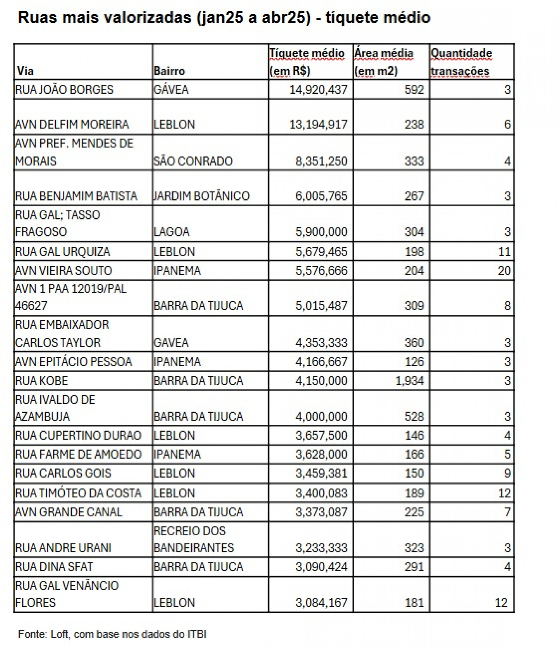
Segundo Fábio Takahashi, gerente de Dados da plataforma, essas ruas mais valorizadas são acessíveis a um público muito específico, mas elas também indicam regiões onde há grande atratividade imobiliária, inclusive para imóveis de menor valor nos arredores. “A Rua João Borges concentra alguma das principais características que valorizam imóvel: é um local tranquilo, mas próximo à área verde, serviços e importantes vias, além de estar perto da universidade PUC”, analisa Takahashi.
O estudo aponta ainda que, entre os bairros com maior presença no ranking por tíquete médio, o Leblon aparece com seis ruas, seguido pela Barra da Tijuca (cinco ruas), Ipanema (três ruas) e Gávea (duas ruas). Também estão representados São Conrado, Jardim Botânico e Lagoa. Confira a tabela completa:


Os comentários não representam a opinião do jornal e são de responsabilidade do autor.